9th Grade Lesson Plans
97 lessons

30 min
Biodiversity Loss and Human Impact
Science

80 min
Computing History
Technology

60 min
Why Genetic Diversity Matters
Science

45 min
What is Mental Health?
Health

40 min
Carbon Dioxide in the Carbon Cycle
Science

15 min
Exploring Cubism
Art

45 min
Is it a Function?
Math

50 min
Types of Slope
Math

45 min
Interpreting Graphs
Math

45 min
Budgeting with Integer Operations
Math

60 min
-ar Verbs in Present Tense
World Languages

60 min
Conjugating Regular Verbs in Spanish
World Languages

45 min
Adding and Subtracting Integers
Math

55 min
Connecting Ideas with Transition Words
ELA

40 min
How Cells Make Proteins
Science

40 min
How Machines Learn
Computer Science

40 min
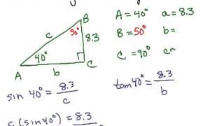
Solving Right Triangles with Trig Ratios
Math

15 min
Joining Sentences with Commas
ELA

30 min
Factoring Quadratic Equations
Math

15 min
Van Gogh and Impressionism
Art

60 min
Plotting Points to Find Domain and Range
Math

80 min
Air Resistance and Falling Objects
Science

50 min
Cellular Respiration and Energy Production
Science

30 min
Plot Elements in The Most Dangerous Game
ELA